Understanding NCr And NPr: Formulas & Examples

S.Onlinenic 12 views
Understanding NCr And NPr: Formulas & Examples

Understanding nCr and nPr: Formulas & Examples

Hey everyone! Today, we’re diving into the fascinating world of combinatorics, specifically exploring the formulas for nCr (combinations) and nPr (permutations) . These concepts are super important in probability, statistics, and even computer science, so understanding them is a total game-changer. Let’s break down these formulas and see how they work with some friendly examples. No need to feel intimidated; we’ll keep it simple and fun, I promise!

Decoding nCr: The Combination Formula

So, what exactly does nCr mean? Well, nCr represents the number of ways to choose r items from a set of n items without considering the order. Think of it like this: You have a group of friends, and you want to pick a team for a game. The order you pick your friends doesn’t matter; it’s just about who’s on the team. This is a classic example of a combination. The formula for nCr is:

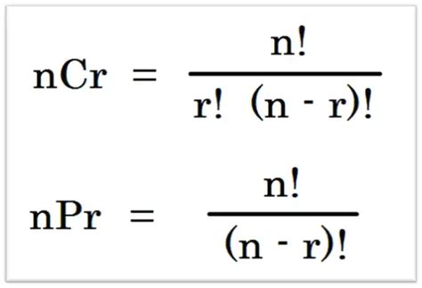
nCr = n! / (r! * (n-r)!)

Where:

  • n! (n factorial) is the product of all positive integers up to n . For example, 5! = 5 * 4 * 3 * 2 * 1 = 120.
  • r! is the factorial of r .
  • (n-r)! is the factorial of the difference between n and r .

Let’s put this into practice with a real-world scenario. Imagine you have a box of 10 different colored candies, and you want to choose 3 of them. How many different combinations of 3 candies can you create? Here’s how to calculate it using the nCr formula:

  • n = 10 (total number of candies)
  • r = 3 (number of candies to choose)

10C3 = 10! / (3! * (10-3)!) = 10! / (3! * 7!)

Now, let’s calculate the factorials:

  • 10! = 10 * 9 * 8 * 7 * 6 * 5 * 4 * 3 * 2 * 1 = 3,628,800
  • 3! = 3 * 2 * 1 = 6
  • 7! = 7 * 6 * 5 * 4 * 3 * 2 * 1 = 5,040

10C3 = 3,628,800 / (6 * 5,040) = 3,628,800 / 30,240 = 120

So, you can create 120 different combinations of 3 candies from a box of 10. That’s a lot of potential candy selections, am I right? Remember, with combinations, the order of selection doesn’t matter. Choosing red, blue, and green candies is the same as choosing green, blue, and red.

Exploring nPr: The Permutation Formula

Alright, now let’s switch gears and talk about nPr . Unlike combinations, permutations do care about the order. nPr represents the number of ways to arrange r items from a set of n items when the order of the arrangement matters. Think of it like lining up for a photo or arranging letters to form words. The order is crucial here. The formula for nPr is:

nPr = n! / (n-r)!

Where:

  • n! (n factorial) is the product of all positive integers up to n .
  • (n-r)! is the factorial of the difference between n and r .

Let’s say you have 5 different books, and you want to arrange 3 of them on a shelf. How many different ways can you arrange these books? Here’s how to figure it out using the nPr formula:

  • n = 5 (total number of books)
  • r = 3 (number of books to arrange)

5P3 = 5! / (5-3)! = 5! / 2!

Now, let’s calculate the factorials:

  • 5! = 5 * 4 * 3 * 2 * 1 = 120
  • 2! = 2 * 1 = 2

5P3 = 120 / 2 = 60

So, there are 60 different ways to arrange 3 books from a set of 5. The order of the books on the shelf matters here, so each different arrangement counts as a unique permutation. If you changed the order, you get a new permutation. This makes a big difference compared to combinations, where the order is not relevant.

Key Differences Between nCr and nPr: A Quick Recap

Okay, let’s make sure we’re all on the same page. The main difference between nCr and nPr boils down to order:

  • nCr (Combinations): Order doesn’t matter. You’re just choosing a group or a subset.
  • nPr (Permutations): Order does matter. You’re arranging items in a specific sequence.

Here’s a table that sums it up nicely:

Feature Combination (nCr) Permutation (nPr)
Order Does not matter Matters
Formula n! / (r! * (n-r)!) n! / (n-r)!
Example Choosing a team from a group of friends Arranging books on a shelf
Key takeaway Selection of items without regard to arrangement Arrangement of items with a specific sequence

Understanding this difference is critical to solving problems correctly. Always think about whether the order of selection or arrangement is important to the question. This is the key to choosing the right formula.

Real-World Applications: Where You’ll See nCr and nPr

These formulas aren’t just abstract concepts; they pop up in all sorts of real-world scenarios, so keep your eyes peeled for them:

  • Probability: Calculating the probability of events, such as drawing certain cards from a deck or winning a lottery.
  • Statistics: Analyzing data, conducting experiments, and making predictions.
  • Computer Science: Algorithm design, cryptography, and data analysis.
  • Everyday Situations: Selecting a team, creating a password, or determining the number of possible outcomes in a game.

Understanding these formulas equips you with powerful tools for problem-solving in various areas. So, pat yourselves on the back, guys! You’re building a solid foundation in some super valuable math.

Tips for Mastering nCr and nPr

Here are some handy tips to help you conquer these formulas:

  1. Practice, Practice, Practice: The more problems you solve, the better you’ll understand the concepts. Try working through various examples, starting with simpler ones and gradually increasing the difficulty.
  2. Understand the Problem: Before you start calculating, carefully read the problem and determine whether the order matters. This is the key to choosing the correct formula.
  3. Use a Calculator: Many calculators have built-in functions for calculating factorials, nCr, and nPr. Make use of these to save time and reduce the chances of calculation errors.
  4. Break it Down: Complex problems can often be simplified by breaking them down into smaller steps. This makes it easier to apply the formulas correctly.
  5. Visualize: Draw diagrams, create lists, or use other visual aids to help you understand the problem and the arrangement or selection process.

Conclusion: You Got This!

Alright, folks, we’ve covered a lot of ground today! We’ve taken a look at the formulas for nCr and nPr , how they work, the difference between them, and even some real-world examples. Hopefully, you feel more confident about tackling problems involving combinations and permutations. Remember, practice is key, and with a little effort, you’ll be a pro in no time.

Keep up the great work, and don’t be afraid to ask questions! The world of math is exciting, and learning these formulas opens up a whole new world of problem-solving possibilities. Thanks for hanging out with me today. Until next time, keep exploring and keep learning!