Horner's Method: Simple Division Guide

S.Onlinenic 71 views
Horner's Method: Simple Division Guide

Horner’s Method: Simple Division Guide

Hey guys! Ever stumbled upon a polynomial division problem that looked like it came straight from math hell? Well, fear not! There’s a cool technique called Horner’s method (or Horner’s scheme) that can make polynomial division a whole lot easier. In this guide, we’re going to break down Horner’s method step-by-step, so you can conquer those polynomial divisions like a pro. Trust me, once you get the hang of it, you’ll be wondering why you haven’t been using it all along!

What is Horner’s Method?

So, what exactly is Horner’s method? In a nutshell, it’s an efficient algorithm for evaluating polynomials. It also doubles up as a neat way to perform synthetic division. Instead of the traditional long division method, which can get messy and confusing with high-degree polynomials, Horner’s method offers a more streamlined approach. It reduces the number of multiplications and makes the whole process much more organized. Basically, Horner’s method is your friend when you want to avoid a mathematical migraine!

Why Use Horner’s Method?

Okay, so why should you bother learning Horner’s method? Here’s the deal: it’s not just about showing off your math skills (though it does look pretty impressive). There are some solid, practical reasons to use it.

  • Efficiency: As mentioned before, Horner’s method minimizes the number of multiplications needed. This is especially useful when you’re dealing with high-degree polynomials, where the number of calculations can quickly spiral out of control.
  • Organization: The method provides a structured layout, making it easier to keep track of the coefficients and calculations. No more messy scribbles and accidental mistakes!
  • Error Reduction: Because it’s so organized, Horner’s method helps reduce the chance of making errors. Each step is clearly defined, so you can easily double-check your work.
  • Versatility: While it’s great for division, Horner’s method can also be used to evaluate polynomials at specific values. This is super handy in various mathematical and engineering applications.
  • Computational Friendliness: Horner’s method is easily implemented in computer programs. Its simplicity and efficiency make it ideal for numerical computations.

In short, Horner’s method is a valuable tool to have in your mathematical arsenal. It simplifies complex polynomial divisions and evaluations, saving you time and reducing the risk of errors. What’s not to love?

How to Perform Polynomial Division Using Horner’s Method

Alright, let’s get down to the nitty-gritty. How do you actually do polynomial division using Horner’s method? Grab a pen and paper, and let’s walk through it step-by-step. We’ll start with a basic example and then move on to something a bit more challenging.

Step-by-Step Guide

  1. Write Down the Coefficients:

    First, write down the coefficients of the polynomial you want to divide. Make sure to include any zero coefficients for missing terms. For example, if you have the polynomial 3x^4 + 0x^3 - 2x^2 + 5x - 1 , the coefficients would be 3, 0, -2, 5, and -1. Notice the 0 coefficient for the missing x^3 term. This is crucial for maintaining the correct place values.

  2. Identify the Divisor Root:

    Next, determine the root of the divisor. If you’re dividing by x - a , then a is the root. For instance, if you’re dividing by x - 2 , then the root is 2. If you’re dividing by x + a , the root is -a . So, if you’re dividing by x + 3 , the root is -3. This value will be used in the synthetic division process.

  3. Set Up the Horner’s Scheme Table:

    Draw a horizontal line and write the coefficients to the right of it. Place the root of the divisor to the left. It should look something like this:

    a |  c1   c2   c3   ...   cn
      |___________________________
    

    Where a is the root of the divisor and c1 , c2 , c3 , …, cn are the coefficients of the polynomial.

  4. Bring Down the First Coefficient:

    Bring down the first coefficient (the leftmost one) below the horizontal line. This is your starting point.

    a |  c1   c2   c3   ...   cn
      |___________________________
        c1
    
  5. Multiply and Add:

    Multiply the root ( a ) by the number you just brought down (the first coefficient). Write the result under the next coefficient to the right. Then, add the two numbers in that column and write the sum below the line.

    a |  c1   c2     c3   ...   cn
      |       a*c1
      |___________________________
        c1   c2 + a*c1
    
  6. Repeat the Process:

    Continue multiplying the root by the latest result below the line and adding it to the next coefficient. Repeat this process until you reach the last coefficient.

    a |  c1   c2     c3       ...     cn
      |       a*c1   a*(c2+a*c1)   ...
      |__________________________________
        c1   c2+a*c1   c3+a*(c2+a*c1)  ...  result
    
  7. Interpret the Results:

    The numbers below the line (except the last one) are the coefficients of the quotient polynomial. The last number is the remainder. If the remainder is zero, then the division is exact.

Example Time!

Let’s do an example to make it crystal clear. Divide 2x^3 - 5x^2 + 3x + 4 by x - 1 using Horner’s method.

  1. Coefficients: 2, -5, 3, 4

  2. Root: The root of x - 1 is 1.

  3. Set Up:

    1 |  2   -5   3   4
      |__________________
    
  4. Bring Down:

    1 |  2   -5   3   4
      |__________________
        2
    
  5. Multiply and Add:

    1 |  2   -5    3   4
      |       2
      |__________________
        2   -3
    
  6. Repeat:

    1 |  2   -5   3    4
      |       2   -3
      |__________________
        2   -3   0
    
    1 |  2   -5   3   4
      |       2   -3   0
      |__________________
        2   -3   0   4
    
  7. Interpret:

    The coefficients of the quotient are 2, -3, and 0. So the quotient is 2x^2 - 3x + 0 , which simplifies to 2x^2 - 3x . The remainder is 4.

Therefore, (2x^3 - 5x^2 + 3x + 4) / (x - 1) = 2x^2 - 3x + 4/(x-1) .

Tips and Tricks for Using Horner’s Method

To really master Horner’s method, here are some tips and tricks that can help you avoid common mistakes and speed up the process.

Keeping Track of Coefficients

  • Always Include Zero Coefficients: This is super important. If a term is missing in the polynomial, make sure to include a zero coefficient in its place. For example, if you have x^4 - 1 , the coefficients would be 1, 0, 0, 0, -1.
  • Double-Check Your Work: Before you start the calculations, double-check that you’ve written down all the coefficients correctly. A small mistake here can throw off the entire result.

Dealing with Complex Roots

  • Rationalizing the Denominator: If the root is a fraction, like x - 1/2 , use the fraction 1/2 directly in Horner’s method. It might seem intimidating, but it works just the same.
  • Complex Numbers: Horner’s method can also handle complex roots. Just make sure to perform the multiplication and addition correctly, keeping in mind the rules for complex number arithmetic.

Speeding Up the Process

  • Practice Makes Perfect: The more you practice, the faster and more accurate you’ll become. Try different examples and challenge yourself with higher-degree polynomials.
  • Mental Math: Try to do as much of the multiplication and addition mentally as possible. This will save you time and help you develop a better understanding of the process.

Common Mistakes to Avoid

  • Forgetting the Zero Coefficients: As mentioned earlier, this is a common mistake that can lead to incorrect results. Always double-check for missing terms.
  • Incorrectly Identifying the Root: Make sure you correctly identify the root of the divisor. Remember that x - a has a root of a , while x + a has a root of -a .
  • Math Errors: Simple arithmetic errors can happen, especially when you’re dealing with larger numbers. Take your time and double-check each step.

Advanced Applications of Horner’s Method

Okay, so you’ve mastered the basics of Horner’s method. But did you know it can be used for more advanced applications? Here are a few cool ways to take Horner’s method to the next level.

Evaluating Polynomials

One of the most common advanced applications of Horner’s method is evaluating polynomials at a specific value. Instead of plugging the value directly into the polynomial, you can use Horner’s method to efficiently compute the result. This is especially useful when you need to evaluate the polynomial at multiple points.

For example, let’s say you want to evaluate the polynomial P(x) = 3x^3 - 2x^2 + 5x - 1 at x = 2 . Using Horner’s method:

2 |  3   -2   5   -1
  |       6   8   26
  |__________________
    3    4  13   25

The result is 25, so P(2) = 25 .

Finding Derivatives

Believe it or not, Horner’s method can also be used to find the derivative of a polynomial. By applying Horner’s method twice, you can efficiently compute both the value of the polynomial and its derivative at a given point. This is a handy trick for calculus problems.

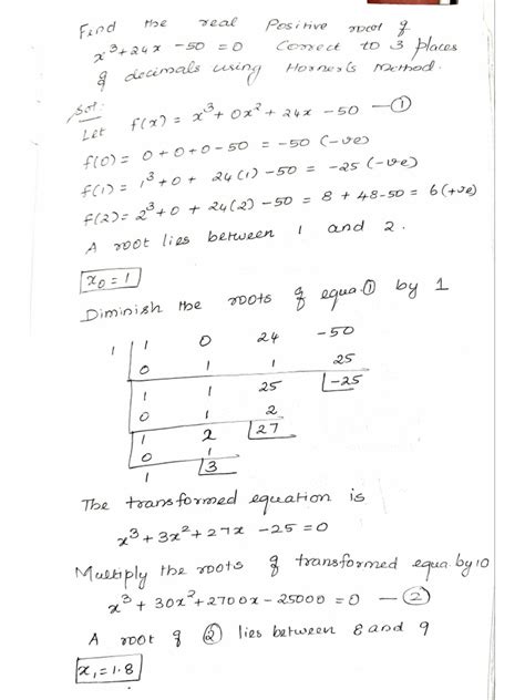
Root Finding Algorithms

Horner’s method is a key component in many root-finding algorithms, such as Newton’s method. By combining Horner’s method with iterative techniques, you can find the roots of polynomials to a high degree of accuracy.

Conclusion

So, there you have it! Horner’s method is a powerful and versatile tool for polynomial division and evaluation. Whether you’re a student struggling with algebra or an engineer working on complex calculations, mastering Horner’s method can save you time and reduce errors. Keep practicing, and you’ll be a polynomial pro in no time!

Remember, the key to success with Horner’s method is practice, patience, and attention to detail. Don’t be afraid to make mistakes – they’re part of the learning process. And most importantly, have fun with it! Math doesn’t have to be a chore; it can be an exciting challenge. Now go out there and conquer those polynomials!