Disjoint Set Union (DSU) By Rank: A Coding Ninjas Guide

S.Onlinenic 85 views
Disjoint Set Union (DSU) By Rank: A Coding Ninjas Guide

Disjoint Set Union (DSU) by Rank: A Coding Ninjas Guide

Hey guys! Today, we’re diving deep into a super cool data structure called the Disjoint Set Union (DSU) , also known as the Union-Find data structure. If you’re tackling problems related to connectivity, networks, or grouping elements, DSU is your best friend. We’ll specifically explore how to optimize DSU using the ‘union by rank’ technique, especially relevant if you’re sharpening your skills on platforms like Coding Ninjas. Let’s get started!

What is Disjoint Set Union (DSU)?

At its heart, DSU is all about managing a collection of disjoint sets. Think of it as a way to keep track of different groups of items, where each item belongs to exactly one group. The ‘disjoint’ part means that no two groups share any common items. DSU supports two primary operations:

  • Find(x): Determines which set a particular element x belongs to. This is usually represented by finding a ‘representative’ element for the set. If two elements have the same representative, they are in the same set.
  • Union(x, y): Merges the sets that contain elements x and y into a single set. After this operation, x and y will belong to the same group.

Imagine you have a bunch of islands, and you want to figure out which islands are connected by bridges. Each island starts as its own separate set. When you build a bridge between two islands, you perform a Union operation to merge their sets. The Find operation helps you determine if two islands are already connected.

The basic implementation of DSU can be pretty straightforward, but it can suffer from performance issues, particularly when you have a large number of elements and operations. This is where optimizations like ‘union by rank’ come into play. Without these optimizations, the Find operation can take O(n) time in the worst case, where n is the number of elements. But with ‘union by rank’ and ‘path compression’ (which we’ll touch upon), we can bring that down to almost constant time, making DSU incredibly efficient.

DSU is particularly useful in solving problems related to network connectivity, finding connected components in graphs, and Kruskal’s algorithm for finding the minimum spanning tree. Many coding challenges on platforms like Coding Ninjas require efficient DSU implementations to pass the time limit, making it a crucial tool in your algorithmic arsenal. So, understanding DSU and its optimizations is essential for any serious coder.

Why Use Union by Rank?

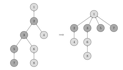
The main goal of ‘union by rank’ is to keep the DSU structure as flat as possible. Why? Because the flatter the structure, the faster the Find operation becomes. In a naive implementation, when we merge two sets, we might simply attach one set’s root to the other’s root without any consideration for the structure. This can lead to a tree-like structure that becomes very tall, and traversing this tall tree to find the representative element takes O(n) time in the worst case. That’s not good!

‘Union by rank’ addresses this problem by keeping track of the ‘rank’ of each set. The rank is essentially an upper bound on the height of the tree representing the set. When we perform a Union operation, instead of arbitrarily attaching one tree to another, we attach the tree with the smaller rank to the tree with the larger rank. If the ranks are equal, we increment the rank of the resulting tree. This simple strategy ensures that the trees remain relatively balanced, preventing them from becoming too tall.

Think of it like merging two stacks of books. If you always put the shorter stack on top of the taller stack, the resulting stack will never be taller than necessary. This minimizes the distance you have to reach the bottom of the stack. Similarly, ‘union by rank’ minimizes the distance you have to traverse to find the representative element in the DSU.

The beauty of ‘union by rank’ is that it’s relatively easy to implement and provides significant performance improvements. Combined with ‘path compression’ (which flattens the tree further during Find operations), it makes DSU a powerhouse for solving connectivity problems efficiently. Without ‘union by rank,’ your DSU implementation might struggle to handle large datasets or complex scenarios, especially in competitive programming environments where time is of the essence. So, learning and implementing ‘union by rank’ is a crucial step in mastering DSU and becoming a more proficient coder.

Implementing Union by Rank

Okay, let’s get our hands dirty and see how to implement ‘union by rank’ in code. We’ll start by defining the basic structure and then walk through the Find and Union operations.

First, we need to maintain two arrays:

  • parent[] : This array stores the parent of each element. Initially, each element is its own parent (i.e., parent[i] = i ). This means each element starts as its own set.
  • rank[] : This array stores the rank of each element. Initially, the rank of each element is 0.

Here’s a basic code snippet (in C++) to illustrate this:

”`cpp #include #include

using namespace std;

class DisjointSet { public:

vector<int> parent, rank;

DisjointSet(int n) {
    parent.resize(n);
    rank.resize(n, 0);
    for (int i = 0; i < n; ++i) {
        parent[i] = i; // Initially, each element is its own parent
    }
}

// Find operation with path compression
int find(int x) {
    if (parent[x] != x) {
        parent[x] = find(parent[x]); // Path compression
    }
    return parent[x];
}

// Union operation with union by rank
void unite(int x, int y) {
    int rootX = find(x);
    int rootY = find(y);

    if (rootX != rootY) {
        if (rank[rootX] < rank[rootY]) {
            parent[rootX] = rootY;
        } else if (rank[rootX] > rank[rootY]) {
            parent[rootY] = rootX;
        } else {
            parent[rootY] = rootX;
            rank[rootX]++;
        }
    }
}

};

int main() {

DisjointSet ds(5); // Create a DSU with 5 elements

// Perform some union operations
ds.unite(0, 1);
ds.unite(2, 3);
ds.unite(0, 2);

// Check if elements are connected
cout <<